Alkana adalah senyawa hidrokarbon dengan rantai karbon jenuh (ikatan kovalen tunggal). Rumus umum senyawa alkana adalah CnH2n+2. Senyawa alkana dapat membentuk rantai karbon lurus dan rantai karbon bercabang. Masing-masing rantai karbon memiliki tata nama yang berbeda. Untuk mengetahui lebih lanjut mengenai tata nama alkana, perhatikan contoh soal tata nama alkana dan jawabannya berikut ini.
Soal No. 1
Berikan nama pada rumus struktur berikut ini.
Jawaban:
a. n-butana
b. 2-metilpropana
c. 2,3,5-trimetilheksana
d. 2,2,3,4-tetrametil-3-isopropilpentana
Soal No. 2
Tuliskan rumus strukturnya!
a. 2,2,3-trimetilpentana
b. 2,2,3,4-tetrametilheptana
c. 2,3,4-trimetiloktana
d. 3-etil-4-isopropil-2,2-dimetiloktana
e. 3-etil-2,2-dimetil-4-propilnonana
Jawaban:
a. 2,2,3-trimetilpentana

b. 2,2,3,4-tetrametilheptana

c. 2,3,4-trimetiloktana

d. 3-etil-4-isopropil-2,2-dimetiloktana

e. 3-etil-2,2-dimetil-4-propilnonana

Soal No. 3
Berilah nama pada senyawa-senyawa berikut.
Jawaban:
a. 4-etil-3,5-dimetilheksana
b. 2,2,3-trimetilbutana
Soal No. 4
Berilah nama senyawa-senyawa hidrokarbon di bawah ini:
Jawaban:
a. 2-metilbutana
b. 4-etil-3,5-dimetilheptana
Soal No. 5
Beri nama senyawa-senyawa alkana berikut.
Jawaban:
a. 2,3-dimetilbutana
b. 2,3-dimetilpentana
Soal No. 6
Berilah nama IUPAC senyawa-senyawa berikut.
Jawaban:
a. 2,2,3-trimetilbutana
b. 3-metilheksana
c. 2,3-dimetilpentana
Soal No. 7
Buatlah rantai karbon alkana dan tulislah rumus molekul senyawa karbon yang mempunyai nama berikut.
a. 2,4-dimetilpentana
b. 4-etil-2,3-dimetilheksana
c. 3-etil-4,4,5-trimetilheptana
d. 6-etil-2,2-dimetiloktana
Jawaban:
a. 2,4-dimetilpentana (C7H16)

b. 4-etil-2,3-dimetilheksana (C10H22)

c. 3-etil-4,4,5-trimetilheptana (C12H26)

d. 6-etil-2,2-dimetiloktana (C12H26)

Soal No. 8
Apakah nama senyawa berikut ini sudah sesuai dengan penamaan IUPAC? Betulkan jika masih ada nama yang salah.
a. 4-metilbutana
b. 2-etil-butana
c. 2,2-dimetilbutana
d. 3-metil-3-etilpentana
Jawaban:
a. Salah. Yang betul bukan 4-metilbutana tapi pentana.
b. Salah Yang betul bukan 2-etilbutana tapi 3-metilpentana
c. Betul
d. Betul
Soal No. 9
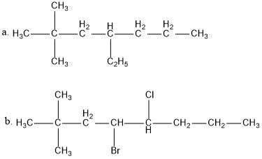
Berilah nama pada senyawa-senyawa berikut ini!
Jawaban:
a. 4-etil-2,2-dimetilheptana
b. 4-bromo-5-kloro-2,2-dimetiloktana
Soal No. 10
Nama senyawa dengan rumus di bawah ini menurut IUPAC adalah….
Jawaban: 2,4-dimetilheksana







