Supaya kamu lebih mantap dalam persiapan masuk Perguruan Tinggi Negeri (PTN), yuk di pelajari pembahasan soal SBMPTN 2018 SAINTEK berikut ini.
Soal SBMPTN 2018 SAINTEK No. 1
Jika periode fungsi f(x) = 2 cos (ax) + a adalah ∏/3, maka nilai minimum fungsi f adalah …
A. 1
B. 2
C. 4
D. 6
E. 8
Jawaban: C
Pembahasan:
f(x) = 2 . cos (ax) + a
Periode → 2∏/a = ∏/3
a = 6
f(x) = 2 . cos (6x) + 6
Nilai minimum = – (2) + 6 = 4
Soal SBMPTN 2018 SAINTEK No. 2
Pencerminan titik P(a,2) terhadap garis y = -3 dan dilanjutkan dengan pergeseran sejauh 5 satuan ke kanan dan b satuan ke atas, mengakibatkan bayangannya menjadi P(1,-7). Nilai a + b adalah …
A. -5
B. -3
C. -1
D. 1
E. 3
Jawaban: B
Pembahasan:
P(a,2) = (a,2 . (-3) -2) = (a, -8)
Di geser 5 ke kanan dan b ke atas, maka (a, -8) + (5, b) = (1, -7)
a + 5 = 1
a = -4
-8 + b = -7
b = 1
a + b = -4 + 1 = -3
Soal SBMPTN 2018 SAINTEK No. 3
Diketahui kubus ABCD EFGH dengan panjang rusuk 2√2 cm. Jika titik P di tengah-tengah AB dan titik Q di tengah-tengah BC, maka jarak antara titik H dengan garis PQ adalah … cm.
A. √15
B. 4
C. √17
D. 3√2
E. √19
Jawaban: C
Pembahasan:
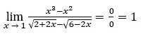
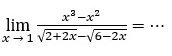
Soal SBMPTN 2018 SAINTEK No. 4
A. -2
B. -1
C. 0
D. 1
E. 2
Jawaban: D
Pembahasan:
Soal SBMPTN 2018 SAINTEK No. 5
Jika -2, a + 3, a – 1 membentuk barisan geometri, maka jumlah 11 suku pertama yang mungkin adalah …
A. -2
B. -1
C. 0
D. 1
E. 2
Jawaban: A
Pembahasan:
U22 = U1 U3
(a + 3)2 = -2 (a – 1)
a 2 + 8 a + 7 = 0
a = -1 Ꝧ -2, 2, -2, 2, ….
S1 = -2, S2 = 0, S3 = -2, …
Maka S11 = -2
Soal SBMPTN 2018 SAINTEK No. 6
Daerah R dibatasi oleh y = √x, y = -x + 6 dan sumbu x. Volume benda padat yang didapat dengan memutar R terhadap sumbu x adalah …
A. 8∏/3
B. 16∏/3
C. 24∏/3
D. 32∏/3
E. 40∏/3
Jawaban: D
Pembahasan:
Soal SBMPTN 2018 SAINTEK No. 7
Ari dan Ira merupakan anggota dari suatu kelompok yang terdiri dari 9 orang. Banyaknya cara membuat barisan, dengan syarat Ari dan Ira tidak berdampingan, adalah …
A. 7 x 8!
B. 6 x 8!
C. 5 x 8!
D. 7 x 7!
E. 6 x 7!
Jawaban: A
Pembahasan:
Banyaknya cara membuat barisan dengan 9 orang adalah 9!
Banyaknya cara membuat barisan dengan Ari dan Ira berdampingan adalah 8! X 2.
Banyaknya cara membuat barisan dengan Ari dan Ira tidak berdampingan adalah
= 9! – (8! X 2)
= 9 . 8! – 2 . 8!
= 7 . 8!



