Berikut ini adalah contoh soal regangan yang meliputi soal pilihan ganda dan soal essay serta telah dilengkapi dengan jawaban dan pembahasannya.
Soal No. 1
Sebuah pegas dengan panjang mula – mula 10 cm kemudian diberi beban ternyata panjangnya menjadi 12 cm. Besarnya regangan pegas adalah …
A. 0,2
B. 0,2 cm
C. 0,2 N
D. 1,2 cm
E. 2 cm
Pembahasan:
Diketahui:
L0 = 10 cm
L = 12 cm
Ditanyakan: Ɛ = …?
Jawaban:
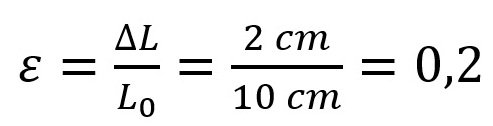
∆L = L – L0 = 12 cm – 10 cm = 2 cm
Soal No. 2
Sebuah kawat panjangnya 100 cm ditarik dengan gaya 12 N, sehingga panjang kawat menjadi 112 cm. Tentukan regangan yang dihasilkan kawat?
Pembahasan:
Diketahui:
L0 = 100 cm
L = 112 cm
F = 12 N
Ditanyakan: Ɛ = …?
Jawaban:
∆L = L – L0 = 112 cm – 100 cm = 12 cm
Ɛ = ∆L/L0 = 12 cm / 100 cm = 0,12
Soal No. 3
Seutas tali mempunyai panjang mula – mula 100 cm ditarik hingga tali tersebut mengalami pertambahan panjang 2 mm. Tentukan regangan tali!
Pembahasan:
Diketahui:
L0 = 100 cm
∆L = 2 mm = 0,2 cm
Ditanyakan: Ɛ = …?
Jawaban:
Ɛ = ∆L/ L0 = 0,2/100 = 2 x 10-3
Soal No. 4
Sebuah kawat yang memiliki luas penampang 4 mm2, kemudian diregangkan oleh gaya sebesar 8 N sehingga bertambah panjang 0,08 cm. Bila panjang kawat mula – mula adalah 60 cm. Berapakah tegangan dan regangan kawat tersebut?
Pembahasan:
Diketahui:
A = 4 mm2 = 4 x 10-6 m2
F = 8 N
∆L = 0,08 cm
L0 = 60 cm
Ditanyakan:
- σ = …?
- Ɛ = …?
Jawaban:
- σ = F/A = 8 N / 4 x 10-6 m2 = 2 x 10-6 N/m2
- Ɛ = ∆L/L0 = 0,08 cm / 60 cm = 13,3 x 10-4
