Yuk dipelajari contoh soal fluida statis berikut ini. Contoh soal ini mencakup benda dalam keadaan terapung, melayang, dan tenggelam. Langsung saja….
Soal No. 1
Sebuah benda dimasukkan ke dalam air. Ternyata 25% dari volume benda terapung di atas permukaan air. Berapakah massa jenis benda tersebut?
Pembahasan:
Diketahui:
Vbenda terapung = 25 %
Vbenda tercelup = 100% – 25% = 75%
ρair = 1 g/cm3
Ditanyakan: ρbenda = …?
Jawaban
w benda = FA
m . g = ρair . Vbenda tercelup . g
ρbenda . Vbenda . g = ρair . Vbenda tercelup . g
ρbenda = ρair . Vbenda tercelup / Vbenda
ρbenda = 1 . 75/100 = 0,75 g/cm3
Soal No. 2
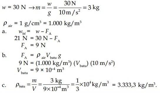
Sebuah batu memiliki berat 30 N jika ditimbang di udara. Jika batu tersebut ditimbang di dalam air beratnya sebesar 21 N. Jika massa jenis air adalah 1 g/cm3, tentukanlah:
a. Gaya ke atas yang diterima batu
b. Volume batu
c. Massa jenis batu tersebut
Pembahasan:
Diketahui:
w = 30 N
wbf = 21 N
ρair = 1 g/cm3
Ditanyakan: FA; Vbatu; ρbatu = …?
Jawaban:
Soal No. 3
Sebongkah batu 50 kg mempunyai volume 0,03 m3 berada di dasar kolam yang berisi air dengan massa jenis 1000 kg/m3. Hitunglah gaya yang diperlukan untuk mengangkat batu tersebut? (g = 10 m/s2)
Pembahasan:
Diketahui:
m = 50 kg
V = 0,03 m3
ρair = 1000 kg/m3
Ditanyakan: T = …?
Jawaban:
w = T + FA
T = w – FA
T = m . g – ρ . g . V
T = (50 . 10) – (1000 . 10 . 0,03)
T = 500 N – 300 N = 200 N
Soal No. 4
Sebuah bola logam padat seberat 20 N diikatkan pada seutas kawat dan dicelupkan ke dalam minyak (ρminyak = 0,8 g/cm3). Jika massa jenis logam 5 g/cm3, berapakah tegangan kawat?
Pembahasan:
Diketahui:
w = 20 N
ρminyak = 0,8 g/cm3 = 800 kg/m3
ρlogam = 5 g/cm3 = 5000 kg/m3
g = 10 m/s2
Ditanyakan: T = …?
Jawaban:
w = m .g
m = 20/10 = 2 kg
T = w – FA
T = w – ρminyak (mbola / ρbola) . g
T = 20 – 800 (2/5000) . 10 = 16,8 N
Soal No. 5
Sebuah benda memiliki volume 20 m3 dan massa jenisnya = 800 kg/m3. Jika benda tersebut dimasukkan ke dalam air yang massa jenisnya 1.000 kg/m3, tentukanlah volume benda yang berada di atas permukaan air.
Pembahasan:
Diketahui:
Vbenda = 20 m3
ρbenda = 800 kg/m3
ρair = 1000 kg/m3
Ditanyakan: V terapung = …?
Jawaban:
w benda = FA
m . g = ρair . Vbenda tercelup . g
ρbenda . Vbenda . g = ρair . Vbenda tercelup . g
Vbenda tercelup = ρbenda . Vbenda / ρair
Vbenda tercelup = 800 . 20 / 1000 = 16 m3
V terapung = Vbenda – Vbenda tercelup = 20 – 16 = 4 m3
