Perhatikan contoh soal hukum pascal dan tekanan hidrostatis berikut ini.
Soal No. 1
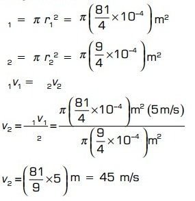
Sebuah pipa berdiameter 9 cm dialiri air berkecapatan 5 m/s, kemudian terhubung dengan pipa berdiameter 3 cm. Kecepatan air pada pipa yang berdiameter 3 cm adalah …
A. 3 m/s
B. 9 m/s
C. 18 m/s
D. 27 m/s
E. 45 m/s
Jawaban: E
Pembahasan:
Diketahui:
r1 = 9 cm
r2 = 3 cm
v1 = 5 m/s
Ditanyakan = v2 = …?
Jawaban:
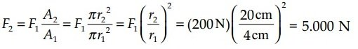
Soal No. 2
Sebuah pompa hidrolik berbentuk silinder memiliki jari – jari 4 cm dan 20 cm. Jika pengisap kecil ditekan dengan gaya 20 N, berapakah gaya yang dihasilkan pada pengisap besar?
Pembahasan:
Diketahui:
r1 = 4 cm
r2 = 20 cm
F1 = 200 N
Ditanyakan = F2 = …?
Jawaban:
Jadi, gaya yang dihasilkan pada pengisap besar sebesar 5000 N.
Soal No. 3
Alat pengangkat mobil yang memiliki luas pengisap masing – masing sebesar 0,1 m2 dan 4 x 10-4 m2 digunakan untuk mengangkat mobil seberat 2 x 104 N. Berapakah besar gaya yang harus diberikan pada pengisap yang kecil?
Pembahasan:
Diketahui:
A1 = 4 x 10-4 m2
A2 = 0,1 m2
F2 = 2 x 104 N
Ditanyakan: F1 = …?
Jawaban:
Jadi, besar gaya yang harus diberikan pada pengisap yang kecil adalah 80 N.
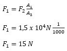
Soal No. 4
Alat pengangkat mobil yang memiliki luas pengisap dengan perbandingan 1 : 1000 digunakan untuk mengangkat mobil seberat 1,5 x 104N, berapakah besar gaya yang harus diberikan pada pengisap yang kecil?
Pembahasan:
Diketahui:
A1 = 1
A2 = 1000
F2 = 1,5 x 104 N
Ditanyakan: F1 = …?
Jawaban:
Soal No. 5
Perhatikan gambar berikut!
Untuk menentukan massa jenis zat cair, dibuat rangkaian alat seperti gambar di atas. Pengisap P dapat bergerak bebas dengan luas penampang 1 cm2. Jika konstanta pegas = 100 N/m dan pegas tertekan sejauh 0,4 cm, massa jenis zat cair adalah …
A. 400 kg/m3
B. 500 kg/m3
C. 750 kg/m3
D. 800 kg/m3
E. 1.000 kg/m3
Jawaban: A
Pembahasan:
Diketahui:
k = 100 N/m
∆x = 0,4 cm = 0,4 x 10-2 m
A = 1 cm2 = 1 x 10-4 m2
h = 1 m
Ditanyakan: ρ = …?
Jawaban:
F = k . ∆x
F = 100 N/m . 0,4 x 10-2 m
F = 0,4 N





