Perhatikan soal dan pembahasan fluida statis berikut ini!
Soal No. 1
Tabung setinggi 30 cm diisi penuh dengan fluida. Tentukan tekanan hidrostatis pada dasar tabung, jika g = 10 m/s2 dan tabung berisi:
- Air (ρ = 1000 kg/m3)
- Raksa (ρ = 13.600 kg/m3)
- Gliserin (ρ = 1.260 kg/m3)
Pembahasan:
Diketahui:
h = 30 cm = 0,3 m
g = 10 m/s2
ρAir = 1000 kg/m3
ρRaksa = 13.600 kg/m3
ρGliserin = 1.260 kg/m3
Ditanyakan: Ph = …?
Jawaban:
1. Tekanan hidrostatis air
Ph air = ρ . g . h
Ph air = 1000 . 10 . 0,3 = 3.000 N/m2
2. Tekanan hidrostatis raksa
Ph raksa = ρ . g . h
Ph raksa = 13.600 . 10 . 0,3 = 40.800 N/m2
3. Tekanan hidrostatis gliserin
Ph gliserin = ρ . g .h
Ph gliserin = 1.260 . 10 . 0,3 = 3.780 N/m2
Soal No. 2
Jika diketahui tekanan udara luar 1 atm dan g = 10 m/s2, tentukanlah tekanan total di bawah permukaan danau pada ke dalaman:
- 10 cm,
- 20 cm, dan
- 30 cm
Pembahasan:
Diketahui:
P0 = 1 atm = 1,013 x 105 N/m2
h1 = 10 cm = 0,1 m
h2 = 20 cm = 0,2 m
h3 = 30 cm = 0,3 m
g = 10 m/s2
ρ = 1000 kg/m3
Ditanyakan: Tekanan total di bawah permukaan danau pada kedalaman 0,1 m; 0,2 m; 0,3 m = …?
Jawaban:
1. Tekanan total di bawah permukaan danau pada kedalaman 0,1 m
P = P0 + ρ . g . h
P = 1,013 x 105 + 1000 . 10 . 0,1 = 1,023 x 105 N/m2
2. Tekanan total di bawah permukaan danau pada kedalaman 0,2 m
P = P0 + ρ . g . h
P = 1,013 x 105 + 1000 . 10 . 0,2 = 1,033 x 105 N/m2
3. Tekanan total di bawah permukaan danau pada kedalaman 0,3 m
P = P0 + ρ . g . h
P = 1,013 x 105 + 1000 . 10 . 0,3 = 1,043 x 105 N/m2
Soal No. 3
Perhatikanlah gambar bejana berikut!
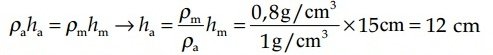
Jika diketahui massa jenis minyak 0,8 g/cm3, massa jenis raksa 13,6 g/cm3, dan massa jenis air 1 g/cm3, tentukanlah perbedaan tinggi permukaan antara minyak dan air.
Pembahasan:
Diketahui:
ρminyak = 0,8 g/cm3
ρraksa = 13,6 g/cm3
ρair = 1 g/cm3
hair = 15 cm
Ditanyakan: Perbedaan tinggi permukaan antara minyak dan air = …?
Jawaban:
Perbedaan tinggi permukaan antara minyak dan air = hair – hminyak = 15 cm – 12 cm = 3 cm
Soal No. 4
Alat pengangkat mobil yang memiliki luas pengisap masing – masing sebesar 0,1 m2 dan 4 x 10-4 m2 digunakan untuk mengangkat mobil seberat 2 x 104 N. Berapakah besar gaya yang harus diberikan pada pengisap yang kecil?
Pembahasan:
Diketahui:
A1 = 4 x 10-4 m2
A2 = 0,1 m2
F2 = 2 x 104 N
Ditanyakan: F1 = …?
Jawaban:
Soal No. 5
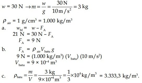
Sebuah batu memiliki berat 30 N jika ditimbang di udara. Jika batu tersebut ditimbang di dalam air beratnya sebesar 21 N. Jika massa jenis air adalah 1 g/cm3, tentukanlah:
a. Gaya ke atas yang diterima batu
b. Volume batu
c. Massa jenis batu tersebut
Pembahasan:
Diketahui:
w = 30 N
wbf = 21 N
ρair = 1 g/cm3
Ditanyakan: FA; Vbatu; ρbatu = …?
Jawaban:
Soal No. 6
Suatu tabung berdiameter 0,4 cm jika dimasukkan secara vertikal ke dalam air, sudut kontaknya 600. Jika tegangan permukaan air 0,5 N/m dan g = 10 m/s2, tentukanlah kenaikan air pada tabung.
Pembahasan:
Diketahui:
d = 0,4 cm
ϴ = 600
ϒ = 0,5 N/m
g = 10 m/s2
Ditanyakan: h = …?
Jawaban:




