1. Pengertian Fluida dan Fluida Statis
- Pengertian Fluida adalah zat yang dapat mengalir dan ketika ditekan memberi sedikit hambatan terhadap perubahan bentuk.
- Pengertian Fluida statis adalah cabang ilmu fisika yang mempelajari tentang fluida tidak bergerak atau diam.
2. Massa Jenis
Secara matematis, rumus massa jenis dituliskan sebagai berikut.
Keterangan:
ρ = massa jenis (kg/m3 atau g/cm3)
m = massa (kg atau g)
V = volume (m3 atau cm3)
15 Contoh Massa Jenis Beberapa Bahan
| No. | Bahan | Massa Jenis (g/cm3) |
| 1 | Etil Alkohol | 0,81 |
| 2 | Benzena | 0,9 |
| 3 | Es | 0,92 |
| 4 | Air | 1 |
| 5 | Gliserin | 1,26 |
| 6 | Aluminium | 1,27 |
| 7 | Baja | 7,8 |
| 8 | Besi | 7,8 |
| 9 | Kuningan | 8,6 |
| 10 | Tembaga | 8,9 |
| 11 | Perak | 10,5 |
| 12 | Timah Hitam | 11,3 |
| 13 | Raksa | 13,6 |
| 14 | Emas | 19,3 |
| 15 | Platina | 21,4 |
3. Tekanan Hidrostatis
Tekanan didefinisikan sebagai besaran gaya yang bekerja pada permukaan benda tiap satuan luas. Secara matematis, persamaan tekanan dituliskan sebagai berikut:
Keterangan:
P = tekanan (N/m2)
F = gaya (N)
A = luas permukaan (m2)
Tekanan hidrostatis adalah tekanan yang dimiliki zat cair yang hanya disebabkan oleh beratnya sendiri. Secara matematis, tekanan hidrostatis dirumuskan sebagai berikut:
Keterangan:
Ph = tekanan hidrostatis (N/m2)
ρ = massa jenis fluida (kg/m3)
g = percepatan gravitasi (m/s2)
h = kedalaman titik dari permukaan fluida (m)
4. Tekanan Total
Pada permukaan fluida yang terkena udara luar, bekerja tekanan udara luar yang dinyakan dengan P0. Jika tekanan udara luar ikut diperhitungkan, besarnya tekanan total atau tekanan mutlak pada satu titik di dalam fluida yaitu:
P = P0 + ρ g h
Keterangan:
P = tekanan total (N/m2)
P0 = tekanan udara luar (1,013 x 105 N/m2)
5. Hukum Utama Hidrostatis

Hukum utama hidrostatis menyatakan bahwa semua titik yang berada pada bidang datar yang sama dalam fluida homogen, memiliki tekanan total yang sama.
6. Hukum Pascal
Hukum pascal berbunyi: “Tekanan yang diberikan pada zat cair dalam ruang tertutup diteruskan sama besar ke segala arah”.
Keterangan:
F1 = gaya pada pengisap pipa 1 (N)
A1 = luas penampang pengisap 1 (m2)
F2 = gaya pada pengisap pipa 2 (N)
A2 = luas penampang pengisap 2 (m2)
7. Hukum Archimedes
Hukum Archimedes berbunyi “gaya ke atas yang bekerja pada suatu benda yang dicelupkan sebagian atau seluruhnya ke dalam suatu fluida sama dengan berat fluida yang dipindahkan benda tersebut”. Secara matematis, Hukum Archimedes dituliskan sebagai berikut.
Keterangan:
FA = gaya ke atas (N)
ρt = massa jenis fluida (kg/m3)
Vt = volume fluida yang dipindahkan (m3)
g = percepatan gravitasi (m/s2)
Hukum Archimedes digunakan untuk menentukan letak benda yang dicelumpkan ke dalam suatu fluida.
Keterangan:
a. Terapung (balok 1 dan balok 2)
Benda yang dicelupkan ke dalam fluida akan terapung jika massa jenis benda lebih kecil daripada massa jenis fluida (ρb < ρf). Massa jenis benda yang terapung dalam fluida memenuhi persamaan berikut.
atau
Keterangan:
Vbf = volume benda yang tercelup dalam fluida (m3)
Vb = volume benda (m3)
hbf = tinggi benda yang tercelup dalam fluida (m)
hb = tinggi benda (m)
ρb = massa jenis benda (kg/m3)
ρf = massa jenis fluida (kg/m3)
b. Melayang (balok 3)
Benda dikatakan melayang jika massa jenis benda sama dengan massa jenis fluida (ρb = ρf).
c. Tenggelam (balok 4)
Benda dikatakan tenggelam jika masssa jenis benda lebih besar daripada massa jenis fluida (ρb > ρf). Jika benda yang tenggelam di dalam fluida itu ditimbang di dalam fluida tersebut, berat benda akan menjadi:
Keterangan:
wbf = berat benda dalam fluida (N)
w = berat benda di udara (N)
8. Gejala Kapilaritas
Kapilaritas adalah peristiwa naik turunnya permukaan fluida di dalam pipa kapiler atau pembuluh sempit. Kenaikan atau penurunan fluida dalam pipa kapiler dirumuskan sebagai berikut:
Keterangan:
h = kenaikan atau penurunan fluida (m)
γ = tegangan permukaan (N/m)
g = percepatan gravitasi (m/s2)
r = jari – jari alas tabung/pipa (m)
- Apabila θ < 90°, berarti pada pipa kapiler terjadi kenaikan tinggi fluida.
- Apabila θ > 90°, berarti terjadi penurunan tinggi fluida (nilai negatif).
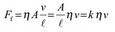
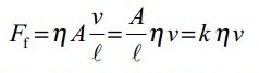
9. Viskositas dan Hukum Stokes
Viskositas (kekentalan) fluida menyatakan besarnya gesekan yang dialami oleh suatu fluida saat mengalir. Koefisien viskositas fluida η , didefinisikan sebagai perbandingan antara tegangan luncur dengan kecepatan perubahan regangan luncur. Secara matemateis, viskositas ditulis sebagai berikut:
Benda yang bergerak dalam fluida kental mengalami gaya gesek yang besarnya dinyatakan dengan persamaan
Untuk benda berbentuk bola, nilai k = 6r sehingga viskositas (kekentalan) suatu fluida dirumuskan dalam Hukum Stokes sebagai berikut:














