Soal UN Fisika 2019 No. 1
Sebuah balok diukur menggunakan jangka sorong memiliki panjang, lebar, dan tinggi seperti ditunjukkan pada gambar.
Volume balok tersebut sesuai dengan kaidah angka penting adalah ….
A. 1,130 cm3
B. 1,13 cm3
C. 1,1 cm3
D. 1,2 cm3
E. 1,5 cm3
Jawaban: C
Pembahasan:
Hasil pengukuran menggunakan jangka sorong = skala utama + skala nonius
Diketahui:
p = 1,8 cm + 0,02 cm = 1,82 cm
l = 0,4 cm + 0,06 cm = 0,46 cm
t = 1,3 cm + 0,05 cm = 1,35 cm
Ditanyakan: V = ….?
Jawaban:
V =p x l x t
V = 1,82 cm x 0,46 cm x 1,35 cm
V = 1,13022 cm3
Karna yang diminta soal adalah volume balok tersebut sesuai dengan kaidah angka penting maka
V = 1,1 cm3
Soal UN Fisika 2019 No. 2
Seseorang mengendarai motor dengan rute seperti yang ditunjukkan pada gambar berikut.
Besar perpindahan yang ditempuh orang tersebut adalah ….
A. 30 km
B. 40 km
C. 50 km
D. 60 km
E. 70 km
Jawaban: C
Pembahasan:
Kita dapat menghitung perpindahan yang ditempuh orang tersebut dengan cara membuat garis khayal yang menghubungkan posisi awal dengan posisi akhir. Perhatikan gambar berikut!
Kemudian, kita hitung perpindahannya dengan rumus pitagoras (teorema pythagoras).
s = √(302 + 402)
s = √900 + 1600
s = √2500
s = 50
Soal UN Fisika 2019 No. 3
Perhatikan gambar berikut!
Diketahui percepatan sistem adalah asistem, percepatan gravitasi adalah g, dan tegangan tali adalah T. Besar percepatan balok A adalah ….
A. aA = mB.g/mA
B. aA = (mB.g – T)/mA
C. aA = (mA.mB.g)/(mA + mB)
D. aA = mB.g/(mA + mB)
E. aA = (T – mB.g)/mA
Jawaban: D
Pembahasan:
Karena meja licin dan kedua benda tersebut bergerak bersama-sama maka resultan gaya pada sistem tersebut sebesar wB dan percepatan sistem = percepatan benda A.
wB = m.a
mB.g = (mA + mB) a
a = (mB.g)/(mA + mB)
Soal UN Fisika 2019 No. 4
Satelit Helios 1 dan Helios 2 mengorbit bumi dengan perbandingan jari-jari orbitnya 4 : 9 serta perbandingan massa Helios 1 dan Helios 2 adalah 4 : 9. Jika lintasan orbit satelit tersebut melingkar maka perbandingan periode satelit Helios 1 dan Helios 2 adalah ….
A. 4 : 9
B. 4 : 27
C. 8 : 27
D. 27 : 4
E. 27 : 8
Jawaban: C
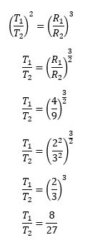
Pembahasan:
Diketahui:
R Helios 1 = 4
R Helios 2 = 9
m Helios 1 = 4
m Helios 2 = 9
Ditanyakan: T Helios 1 : T Helios 2 = ….?
Jawaban:
Jadi perbandingan T Helios 1 : T Helios 2 adalah 8 : 27.
Soal UN Fisika 2019 No. 5
Perhatikan gambar berikut!
Gambar di atas menunjukkan seorang ibu mendorong kereta belanja di atas bidang datar licin dengan gaya F sehingga berjalan dalam selang waktu t. Tabel berikut ini berisi data-data tentang massa (M), gaya dorong (F), dan waktu (t).
| No. | M (kg) | F (N) | t (s) |
| 1 | 40 | 25 | 4 |
| 2 | 30 | 30 | 2 |
| 3 | 25 | 20 | 10 |
| 4 | 50 | 10 | 5 |
Berdasarkan tabel di atas maka urutan data yang menghasilkan usaha mulai dari terkecil adalah ….
A. (1) – (2) – (3) – (4)
B. (1) – (3) – (4) – (2)
C. (2) – (4) – (3) – (1)
D. (3) – (1) – (2) – (4)
E. (4) – (2) – (1) – (3)
Jawaban: E
Pembahasan:
Nilai usaha dapat kita cari menggunakan rumus
w = F x s
akan tetapi, dalam tabel belum disediakan nilai s. Oleh sebab itu, kita harus mencarinya dengan rumus.
s = 0 + ½ . a.t2
s = 0 + ½ . F/M. t2
s = Ft2/2M
Selanjutnya, rumus s tersebut dapat kita masukkan kedalam rumus usaha. Sehingga,
w = F x s
w = F x Ft2/2M
w = F2t2/2M
| No. | M | F | t | s | w |
| 1 | 40 | 25 | 4 | 10.000 | 125 |
| 2 | 30 | 30 | 2 | 3.600 | 60 |
| 3 | 25 | 20 | 10 | 40.000 | 800 |
| 4 | 50 | 10 | 5 | 2.500 | 25 |
Maka urutan data yang menghasilkan usaha mulai dari terkecil adalah (4) – (2) – (1) – (3).




