Soal No. 9 UN Fisika 2015
Tiga pegas identik disusun seperti pada gambar.
Bila konstanta pegas (k) masing – masing adalah 50 N/m dan masa nya 0,5 kg maka pertambahan panjang susunan pegas adalah …
A. 5 cm
B. 10 cm
C. 15 cm
D. 20 cm
E. 25 cm
Pembahasan:
Kita tentukan konstanta pegas penggantinya, karena pada pegas 1 dan pegas 2 tersusun paralel, maka konstanta penggantinya yaitu:
kp = k1 + k2
= 50 + 50
= 100 N/m
Selanjutnya, antara kp dan k3 tersusun seri, sehingga kita bisa menentukan konstanta penggantinya dengan cara:
Sehingga, kita bisa menentukan pertambahan panjang susunan pegasnya.
F = k . x
m . g = k. x
0,5 x 10 = 100/3 . x
x = 15/100 = 0,15 m = 15 cm.
Jadi, pertambahan panjang susunan pegasnya sebesar 15 cm.
Soal No. 30 UN Fisika 2016
Grafik di bawah ini menunjukkan hubungan antara gaya (F) dan pertampahan panjang (∆L) dari tiga bahan yang berbeda.
Grafik yang menunjukkan nilai konstanta elastisitas (k) dari terbesar ke terkecil berturut-turut adalah …
A. 1, 2, dan 3
B. 2, 1, dan 3
C. 2, 3, dan 1
D. 3, 1, dan 2
E. 3, 2, dan 1
Pembahasan:
Ingat kembali bahwa nilai konstanta elastisitas bahan dapat ditentukan dengan rumus:
k = F/∆L
itu artinya:
- Semakin besar nilai k jika nilai F semakin besar dan nilai ∆L semakin kecil.
- Semakin besar nilai k jika grafik lebih tegak ke atas.
Jadi, grafik yang menunjukkan nilai konstanta elastisitas (k) dari terbesar ke terkecil berturut-turut adalah 1, 2, dan 3.
Soal No. 26 UN Fisika 2017
Dari hasil percobaan sebuah pegas yang diberi beban, diperoleh data sebagai berikut:
| No. | Massa beban (gram) | Pertambahan Panjang (cm) |
| 1 | 50 | 4 |
| 2 | 100 | 6 |
| 3 | 150 | 8 |
| 4 | 200 | 10 |
| 5 | 250 | 12 |
Dari pernyataan – pernyataan berikut:
- Semakin besar massa beban maka konstanta pegas makin kecil
- Semakin besar gaya pada pegas dan pertambahan panjang maka konstanta pegas semakin kecil
- Pertambahan panjang sebanding dengan gaya pada pegas
- Besar konstanta pada percobaan di atas adalah 135 N/m
Yang merupakan hasil kesimpulan percobaan tersebut yang benar adalah …
A. 1 dan 2
B. 1 dan 3
C. 2 dan 3
D. 2 dan 4
E. 3 dan 4
Pembahasan:
Kita ingat kembali hukum Hooke, yang menyatakan bahwa
F = -k . x
Dari rumus tersebut dapat kita lihat bahwa gaya F sebanding dengan pertambahan panjang x. (Pernyataan nomor 3 benar)
Dengan menggunakan rumus diatas, sehingga dapat kita hitung konstanta pegasnya dengan (g = 10 m/s2) :
| No. | m (kg) | x (m) | k = m.g/x |
| 1 | 0,05 | 0,04 | 12,5 |
| 2 | 0,1 | 0,06 | 16,67 |
| 3 | 0,15 | 0,08 | 18,75 |
| 4 | 0,2 | 0,1 | 20 |
| 5 | 0,25 | 0,12 | 20,83 |
Berdasarkan hasil tersebut dapat kita lihat bahwa nilai konstanta pegas semakin besar hal tersebut membuat jawaban yang tidak masuk akal. Karena, nilai konstanta harusnya sama pada setiap percobaan ketika menggunakan pegas yang sama. Itu artinya, pilihan 1, 2, dan 4 salah.
Jadi, kesimpulan yang benar adalah pernyataan nomor 3 saja. (tidak ada opsinya).
Soal No. 31 UN Fisika 2018
Perhatikan tabel data eksperimen periode beberapa pegas berikut!
| Pegas | 10T | T | T2 |
| P | 4 | 0,4 | 0,16 |
| Q | 6 | 0,6 | 0,36 |
| R | 2 | 0,2 | 0,04 |
| S | 3 | 0,3 | 0,09 |
| T | 8 | 0,8 | 0,64 |
Jika massa beban pada eksperimen tersebut 200 gram, konstanta pegas terbesar diperoleh pada pegas …
A. P
B. Q
C. R
D. S
E. T
Pembahasan:
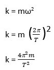
Hubungan antara konstata elastisitas pegas dengan periode dirumuskan sebagai berikut:
Itu artinya, semakin kecil nilai T2 maka nilai k semakin besar.
Jadi, konstanta pegas terbesar diperoleh pada pegas R.



