Soal No. 6
Tentukanlah nama senyawa hidrokarbon berikut.
Jawaban:
a. 1,3-pentadiena
b. 1,3,5-heksadiena
c. 2-metil-1,3-pentadiena
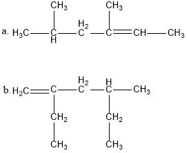
Soal No. 7
Beri nama senyawa berikut ini sesuai dengan aturan IUPAC!
- CH3 = C(C2H5)CH2CH2CH(C4H9)CH3
Jawaban: 2-etil-5-metil-1-nonena
Soal No. 8
Berilah nama IUPAC pada senyawa-senyawa berikut.
Jawaban:
a. 3-metil-1-butena
b. 2,3-dimetil-2-butena
c. 2-metil-3-heksena
Soal No. 9
Tuliskan rumus struktur dari senyawa-senyawa berikut.
a. 3,3,4,5-tetrametil-1-heksena
b. 2,4,5-trimetil-5-propil-2-dekena
Jawaban:
a. 3,3,4,5-tetrametil-1-heksena

b. 2,4,5-trimetil-5-propil-2-dekena

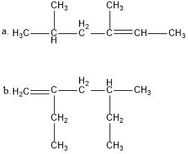
Soal No. 10
Tentukan nama-nama senyawa alkena berikut ini!
Jawaban:
a. 3,5-dimetil-2-heksena
b. 2-etil-4-metil-1-heksena


