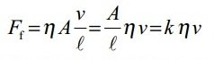
Viskositas adalah kekentalan suatu fluida yang disebabkan oleh adanya gaya gesekan antara molekul – molekul yang menyusun fluida. Benda yang bergerak dalam fluida kental mengalami gaya gesek yang besarnya dinyatakan dengan persamaan:
Untuk benda berbentuk bola dinyakatakn dengan Hukum Stokes, yaitu:
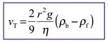
Jika sebuah benda berbentuk bola (kelereng) jatuh bebas dalam suatu fluida kental, kecepatannya akan bertambah karena pengaruh gravitasi bumi hingga mencapai suatu kecepatan terbesar yang tetap. Kecepatan terbesar yang tetap tersebut dinamakan kecepatan terminal. Pada saat kecepatan terminal tercapai, berlaku persamaan berikut:
Keterangan:
vt = kecepatan terminal (m/s)
Ff = gaya gesek (N)
FA = gaya ke atas (N)
ρb = massa jenis bola (kg/m2)
ρf = massa jenis fluida (kg/m3)
Viskositas fluida yang berbeda dapat dinyatakan secara kuantitatif oleh koefisien viskositas. Berikut ini adalah tabel viskositas untuk berbagai fluida:
| Fluida | Temperatur (0C) | Koefisien Viskositas (Pa.s) |
| Air | 0 | 1,8 x 10-3 |
| Air | 20 | 1,0 x 10-3 |
| Air | 100 | 0,3 x 10-3 |
| Oli mesin (SAE 10) | 30 | 200 x 10-3 |
| Udara | 20 | 0,018 x 10-3 |
| Hidrogen | 0 | 0,009 x 10-3 |
| Uap air | 100 | 0,013 x 10-3 |


