Pesawat sederhana adalah suatu alat yang digunakan untuk mempermudah pekerjaan manusia. Rumus-rumus pesawat sederhana meliputi:
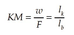
1. Rumus Tuas (Pengungkit)
Rumus keuntungan mekanis tuas adalah sebagai berikut:
2. Rumus Bidang Miring

Keterangan:
F = Gaya yang bekerja (Newton)
W = Berat beban (Newton)
h = Tinggi bidang miring (meter)
s = Panjang bidang miring (meter)
Rumus keuntungan mekanis bidang miring adalah sebagai berikut:
KM = W/F
atau
KM = s/h
3. Rumus Katrol

Keuntungan mekanis untuk:
- Katrol tetap tunggal = 1
- Katro bebas = 2
- Katrol majemuk = jumlah tali yang menyokong berat benda

