Senyawa alkana adalah senyawa hidrokarbon yang memiliki ikatan rantai karbon tunggal terbuka atau lebih dikenal sebagai hidrokarbon alifatik jenuh. Sifat senyawa alkana terbagi menjadi 2 kelompok, yaitu sifat fisik dan sifat kimia senyawa alkana.
1. Sifat Fisik Senyawa Alkana
- Alkana adalah senyawa nonpolar
- Gaya tarik antar molekul lemah
- Pada suhu kamar, alkana yang mempunyai rantai lurus dari C1 sampai C4 berwujud gas.
- Pada suhu kamar, alkana yangg mempunyai rantai lurus dari C5 sampai C17 berwujud cair.
- Pada suhu kamar, alkana yang mempunyai rantai lurus dengan atom karon sama dengan 18 atau lebih berwujud padat.
- Titik didih senyawa alkana bergantung pada banyaknya energi yang diperlukan oleh molekul-molekul alkana untuk lolos dari fase cair menuju fase gas.
- Alkana larut dalam pelarut nonpolar atau sedikit polar
- Alkana tidak larut dalam air
- Semua alkana lebih ringan daripada air.
- Adanya rantai cabang pada senyawa alkana dapat menurunkan titik didihnya.
Tabel Titik Leleh dan Titik Didih Senyawa Alkana
| Jumlah Atom C | Titik Leleh (0C) | Titik Didih (0C) |
| C1 | -183 | -162 |
| C2 | -172 | -89 |
| C3 | -187 | -42 |
| C4 | -135 | -0,5 |
| C5 | -130 | 36 |
| C6 | -94 | 68,7 |
| C7 – C17 | -91 – 22 | 98 – 300 |
| C18 | 28 | 310 |
| C19 | 32 | 330 |
| ≥C20 | ≥36 | >330 |
2. Sifat Kimia Senyawa Alkana
- Senyawa alkana pada umumnya kurang reaktif (sukar bereaksi) dengan zat lain.
- Alkana dapat bereaksi dengan halogen atau disebut juga dengan reaksi halogenasi.
- Alkana dapat dibakar sempurna menghasilkan gas karbon dioksida (CO2) dan uap air (H2O).
3. Cara Pembuatan Senyawa Alkana
Senyawa alkana dapat dibuat dengan hidrogenasi alkena dan reduksi alkil halida.
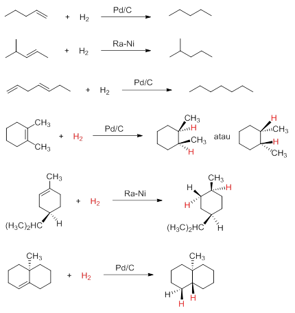
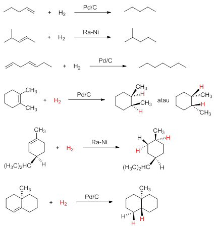
1. Hidrogenasi Alkena
Hidrogenasi alkena adalah reaksi pemutusan ikatan rangkap oleh hidrogen molekuler (H2) yang melibatkan katalis nikel, platina, atau paladium. Contohnya pada reaksi-reaksi berikut ini.

2. Reduksi Alkil Halida
Reduksi alkil halida dapat berlangsung melalui reaksi Grignard atau reduksi dengan logam dan asam secara langsung. Dalam reaksi ini terjadi pertukaran yang sederhana antara atom halogen dan atom hidrogen, sedangkan rantai karbon tidak berubah.
Pereaksi Grignard memiliki rumus umu: RMgX dimama X dapat berupa klorida, bromida, atau iodida. Reaksi tersebut berlangsung dengan pelarut eter.
3. Reaksi Wurtz
Reaksi wurtz adalah reaksi alkil halida dengan logam natrium.
RX + 2Na + R’X → R – R’ + 2NaX
Contoh:
CH3CH2Br + 2Na + CH3Br → CH3CH2CH3 + 2NaBr
