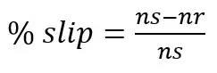
Slip motor induksi adalah perbedaan kecepatan antara medan putar stator dengan rotor tergantung pada besarnya beban dari motor tersebut. Secara matematis slip motor induksi dapat dihitung menggunakan persamaan berikut.
Dimana:
ns = Kecepatan medan stator (Rpm)
nr = Kecepatan motor induksi (Rpm)
Harga slip selalu berubah-ubah tergantung beban yang di pukul yaitu dari 100% saat start sampai dengan 0% saat diam.
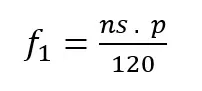
Frekuensi yang dibangkitkan pada belitan rotor adalah f2 dimana
dengan:
p = jumlah katup magnet stator.
Sedangkan frekuensi medan putar stator adalah f1, dimana
Dari persamaan-persamaan di atas akan diperoleh
f2 = %slip . f1
Apabila %slip = 0 (karena ns = nr) maka f2 = 0. Apabila rotor ditahan %slip = 1 (karena nr = 0) maka f2 = f1. Dari persamaan f2 = %slip . f1, diketahui bahwwa frekuensi rotor dipengaruhi oleh %slip. Oleh karena GGL induksi dan reaktansi pada rotor merupakan fungsi frekuensi maka besarnya juga turut dipengaruhi oleh slip. Besarnya GGL induksi efektof pada kumparan stator adalah:
E1 = 4,44 f1 N1 Φ m
Selanjutnya, besarnya GGL induksi efektif pada kumparan adalah:
E2s = 4,44 f2 N2 Φ m
= 4,44 s f1 N2 Φ m
= s.E2
dimana:
E2 = GGL pada saat rotor diam (nr = ns)
E2s = GGL pada saat rotor berputar
N1 = Jumlah lilitan primer (lilitan stator)
N2 = Jumlah lilitan sekunder (lilitan rotor)
Karena kumparan rotor mempunyai reaktansi induktif yang dipengaruhi oleh frekuensi, maka dapat dibuatkan:
X2s = 2π f2 L2
= 2π s . f1 L2
= s X2
dengan:
X2s = reaktansi pada saat rotor berputar
X2 = reaktansi pada saat rotor diam


