Perhatikan soal ulangan harian fisika tentang materi elastisitas dan hukum hooke berikut ini.
Soal No. 1
Sebuah beban 20 N digantungkan pada kawat yang panjangnya 3,0 m dan luas penampangnya 8 x 10-7 m2 hingga menghasilkan pertambahan panjang 0,1 mm. Hitunglah:
- Tegangan
- Regangan
- Modulus elastis kawat
Pembahasan:
Diketahui:
F = 20 N
L0 = 3 m
A = 8 x 10-7 m2
∆L = 0,1 mm = 0,1 x 10-3m
Ditanyakan:
- Tegangan = …?
- Regangan = …?
- Modulus elastis = …?
Jawaban:
- Tegangan = F/A = 20 N / 8 x 10-7 m2 = 2,5 x 107 N/m2
- Ragangan = ∆L/L0 = 0,1 x 10-3 m / 3 m = 3,33 x 10-5
- Modulus Elastis = Tegangan/Regangan = 2,5 x 107 N/m2 / 3,33 x 10-5 = 0,75 x 102 N/m2
Soal No. 2
Sebuah pegas mula – mula panjangnya 20,0 cm ditarik dengan gaya 2,1 N panjangnya menjadi 23 cm. Berapakah besar konstanta pegas? Berapa besar gaya pegas yang ditarik menjadi 25 cm?
Pembahasan:
Diktahui:
L0 = 20 cm = 0,2 m
L = 23 cm = 0,23 m
F = 2,1 N
Ditanyakan:
- k = …?
- F jika L = 0,25 m = …?
Jawaban:
∆L = L – L0 = 0,23 – 0,2 = 0,03 m
- k = F/x = 2,1 N/0,03 m = 70 N/m
- F = k . x = 70 N/m . (0,25 m – 0,2 m) = 3,5 N
Soal No. 3
Kawat yang luas penampangnya 4 cm2 ditarik gaya 200N. Besar tegangan kawat tersebut adalah …
Pembahasan:
Diketahui:
A = 4 cm2 = 4 x 10-4 m2
F = 200 N
Ditanyakan: Tegangan = …?
Jawaban:
Tegangan = F/A = 200 N / 4 x 10-4 m2 = 50 x 104 N/m2
Soal No. 4
Dua buah kawat yang tersambung secara seri tergantung pada suatu atap. Konstanta pegas masing – masing kawat adalah 800 N/m dan 400 N/m. Pada ujung bawah sambungan kawat diikatkan sebuah benda yang bermasssa 0,5 kg. Berapa frekuensi osilasi benda?
Pembahasan:
Diketahui:
k1 = 800 N/m
k2 = 400 N/m
m = 0,5 kg
Ditanyakan: ω =…?
Jawaban:
Soal No. 5
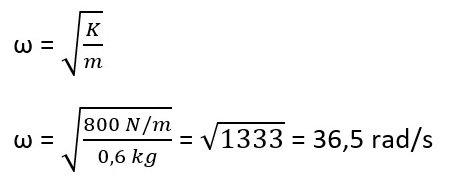
Berapa periode osilasi benda yang digantungkan pada dua pegas yang disusun secara parallel masing – masing dengan konstanta 250 N/m dan 550 N/m? Massa beban 600 gr.
Pembahasan:
Diketahui:
k1 = 250 N/m
k2 = 550 N/m
m = 600 gr = 0,6 kg
Ditanyakan: ω =…?
Jawaban:
K = k1 + k2 = 250 N/m + 550 N/m = 800 N/m

