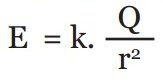
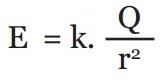
Medan listrik adalah daerah di sekitar muatan listrik yang masih kuat menimbulkan gaya listrik terhadap muatan lain. Secara matematis, kuat medan listrik dapat dihitung dengan menggunakan rumus berikut.
atau
Keterangan,
E = medan listrik (N/C)
F = gaya tarik menarik antar muatan (N)
k = konstanta = 9 x 109 Nm2/C2
r = jarak antara dua muatan (m)
Q = besar muatan listrik (C)
Untuk lebih jelasnya perhatikan contoh soal medan listrik berikut ini.
Contoh Soal No. 1
Gaya Coulomb yang dialami kedua muatan A dan B adalah sebesar 4 x 10-4N. Jika besar muatan A sebesar 4 x 10-6 C dan muatan uji B sebesar 4 x 10-12C, berapakah besar kuat medan listrik yang dirasakan muatan uji B oleh muatan A tersebut?
Pembahasan:
Diketahui:
FC = 4 x 10-4N
QA = 4 x 10-6C
QB = 4 x 10-12C
Dianyakan: EA = ….?
Jawaban:
EA = F/QB
EA = 4 x 10-4N/4 x 10-12C = 108N/C
Contoh Soal No. 2
Medan listrik yang dirasakan oleh muatan uji A terhadap muatan B sebesar 80 N/C. Jika jarak kedua muatan tersebut adalah 3 cm, berapakah besar muatan B?
Pembahasan:
Diketahui:
E = 80 N/C
r = 3 cm = 3 x 10-2m
Ditanyakan; QB = …?
Jawaban:
E = k.Q/r2
80 = 9 x 109 . Q/(3 x 10-2)2
80 = 9 x 109 . Q/9 x 10-4
80 = 1 x 109+4 . Q
80 = 1 x 1012. Q
Q = 80/1 x 1012
Q = 80 x 10-12C
Contoh Soal No. 3
Gaya Coulomb yang dialami kedua muatan A dan B adalah sebesar 3 x 10-4N. Jika besar muatan A dan B masig-masing sebesar 2 x 10-6C dan 1,5 x 10-6C, berapakah besar kuat medan listrik yang dirasakan muatan A oleh muatan B?
Pembahasan:
Diketahui:
F = 3 x 10-4N
QA = 2 x 10-6C
QB = 1,5 x 10-6C
Ditanyakan: EB = ….?
Jawaban:
E = F/QA
E = 3 x 10-4/2 x 10-6
E = 1,5 x 102
E = 150 N/C
Contoh Soal No. 4
Pada percobaan dua buah balon bermuatan yang didekatkan, gaya tolak menolak kedua balon akan semakin besar jika posisi kedua balon tersebut didekatkan. Dapatkah kamu menunjukkan sketsa (gambar) peristiwanya?
Pembahasan:
Contoh Soal No. 5
Hitunglah intensitas medan listrik dari sebuah muatan titik 6 x 10-9C pada jarak 30 cm.
Pembahasan:
Diketahui:
Q = 6 x 10-9C
k = 9 x 109Nm2/C2
r = 30 cm = 30 x 10-2 m
Ditanyakan: E = …?
Jawaban:
E = k . Q/r2
E = 9 x 109 . 6 x 10-9/(30 x 10-2)2
E = 45/900 x 10-4
E = 45/0,9
E = 50 N/C
Contoh Soal No. 6
Hitunglah medan listrik pada radius 1 cm, 2 cm dan 3 cm dari sebuah muatan titik dengan besar muatan 4 μC!
Pembahasan:
Diketahui:
Q = 4 μC = 4 x 10-6C
r1 = 1 cm = 1 x 10-2 m
r2 = 2 cm = 2 x 10-2 m
r3 = 3 cm = 3 x 102 m
k = 9 x 109 Nm2/C2
Ditanyakan: E1; E2; E3 = ….?
Jawaban:
E = k.Q/r2
E1 = 9 x 109 . 4 x 10-6/(1 x 10-2)2 = 36 x 107 N/C
E2 = 9 x 109 . 4 x 10-6/(2 x 10-2)2 = 9 x 107 N/C
E3 = 9 x 109 . 4 x 10-6/(3 x 10-2)2 = 4 x 107 N/C
Contoh Soal No. 7
Sebuah muatan Q memiliki besar muatan listrik 9 x 10-6C. Berapakah besar medan listrik pada jarak 3 cm dari muatan tersebut!
Pembahasan:
Diketahui:
Q = 9 x 10-6C
r = 3 cm = 3 x 10-2 m
k = 9 x 109 Nm2/C2
Ditanyakan: E = ….?
Jawaban:
E = k . Q/r2
E = 9 x 109 . 9 x 10-6 /(3 x 10-2)2
E = 81 x 103/9 x 10-4
E = 9 x 107 N/C
Contoh Soal No. 8
Hitunglah kuat medan listrik dari sebuah muatan Q yang muatannya 7 x 10-9 C pada jaraik 7 cm dari muatan tersebut!
Pembahasan:
Diketahui:
Q = 7 x 10-9C
r = 7 cm = 7 x 10-2m
k = 9 x 109 Nm2/C2
Ditanyakan: E = ….?
Jawaban:
E = k . Q/r2
E = 9 x 109 . 7 x 10-9/(7 x 10-2)2
E = 63/49 x 10-4
E = 1.285,71 N/C


