1. Hukum Hooke
Hukum Hooke menyatakan bahwa jika pada suatu pegas bekerja sebuah gaya F, maka pegas tersebut akan mengalami perubahan panjang x yang sebanding dengan besarnya gaya yang bekerja. Secara matematis dapat dituliskan sebagai berikut:
F = k . x
Keterangan;
F = gaya (N)
k = Konstanta pegas (N/m)
x = perubahan panjang pegas (m)
2. Susunan Pegas
Berdasarkan susunannya, pegas dapat dibedakan menjadi 3 yaitu: susunan pegas seri, susunan pegas paralel, dan susunan pegas seri-paralel.
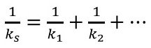
1. Susunan Pegas Seri

Apabila pegas disusun secara seri maka:
- Gaya yang bekerja pada pegas pengganti sama besar (F1 = F2 = F).
- Perubahan panjang pengganti sama dengan jumlah pertambahan panjang masing – masing pegas (x = x1 + x2 + …).
- Konstanta pegas pengganti susunan seri, yaitu:
2. Susunan Pegas Parallel

Jika pegas disusun secara parallel maka:
- Gaya pengganti sama dengan jumlah gaya yang menarik masing – masing pegas (F = F1 + F2).
- Perubahan panjang pegas sama besarnya (x = x1 = x2).
- Konstanta pegas pengganti pada susunan paralel merupakan jumlah setiap konstanta pegas (Kp = K1 + K2 + ….).
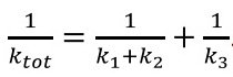
2. Susunan Pegas Seri – Parallel

Apabila pegas disusun secara seri dan parallel maka berlaku:
- Gaya pengganti susunan parallel sama besarnya dengan gaya susunan seri (F1 + F2 = F3).
- Perubahan panjang pegas (x = x1 + x3 ) atau (x = x2 + x3)
- Konstanta pegas pengganti yaitu:

