Listrik statis adalah listrik yang muatan listriknya diam. Listrik statis mempelajari sifat kelistrikan suatu benda tanpa memperhatikan gerakan atau aliran muatan listrik. Muatan listrika dalah muatan dasar yang dimiliki oleh listrik. Ada dua jenis muatan listrik yaitu muatan positif (+) dan muatan negatif (-).
Benda akan bermuatan listrik positif bila kekurangan elektron dan benda bermuatan listrik negatif apabila kelebihan elektron.
- Jika dua benda bermuatan listrik sejenis didekatkan satu sama lain akan terjadi saling tolak-menolak.
- Jika dua benda bermuatan listrik tidak sejenis didekatkan satu sama lain akan terjadi saling tarik-menarik.
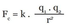
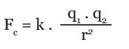
Besarnya gaya tarik-menarik atau tolak-menolak antara dua benda yang bermuatan listrik sebanding dengan muatan masing-masing benda dan berbanding terbalik dengan kuadrat jarak antara kedua benda itu. Secara matematis dirumuskan sebagai berikut.
Keterangan:
FC = gaya Coulomb (N)
k = konstanta = 9 x 109 Nm2/C2
r = jarak antara dua muatan (m)
q1 = besar muatan listrik pertama (C)
q2 = besar muatan listrik kedua (C)
Perhatikan contoh soal berikut:
Tabel Contoh Listrik Statis dalam Kehidupan Sehari-hari
| No. | Bahan | Muatan | Hasil |
| 1 | Kaca – Kain Sutera | Kaca (+), Kain Sutera (-) | Elektron berpindah dari kaca ke kain sutera |
| 2 | Mistar plastik – kain wool | Mistar plastik (-), kain wool (+) | Elektron berpindah dari kain wool ke mistar plastik |
| 3 | Sisir – Rambut | Sisir (-), Rambut (+) | Elektron berpindah dari rambut ke sisir |
| 4 | Penggaris plastik – rambut | Penggaris plastik (-), Rambut (+) | Elektron dari rambut berpindah ke penggaris plastik |
| 5 | Balon – kain wool | Balon (-), kain wool (+) | Elektron dari kain wool berpindah ke balon |
| 6 | Ebonit – kain wool | Ebonit (-), kain wool (+) | Elektron dari kain wool berpindah ke ebonit |

