Sifat kelistrikan suatu benda ditunjukkan adanya muatan listrik yang terdapat pada benda tersebut. Ada dua jenis muatan listrik yaitu muatan positif dan negatif. Suatu benda dikatakan bermuatan positif jika kelebihan proton atau kekurangan elektron, dan sebaliknya benda akan bermuatan negatif jika kelebihan elektron atau kekurangan proton.
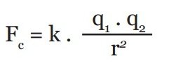
1. Gaya Coulomb pada Muatan Listrik
Secara matematis, gaya coulomb pada muatan listrik dapat dirumuskan sebagai berikut.
Keterangan:
FC = gaya Coulomb (N)
k = konstanta = 9 x 109 Nm2/C2
r = jarak antara dua muatan (m)
q1 = besar muatan listrik pertama (C)
q2 = besar muatan listrik kedua (C)
Contoh Soal Gaya Coulomb:
Dua muatan sejenis besarnya +2 x 10-6C dan +6 x 10-4C. Jika jarak kedua muatan 6 cm, berapakah gaya Coulomb yang dialami kedua muatan?
Pembahasan:
Diketahui:
q1 = 2 x 10-6C
q2 = 6 x 10-4C
r = 6 cm = 6 x 10-2m
k = 9 x 109Nm2/C2
Ditanyakan: FC = ….?
Jawaban:
FC = k x q1 x q2 /r2
FC = 9 x 109 x 2 x 10-6 x 6 x 10-4/(6 x 10-2)2
FC = 108 x 10-1/36 x 10-4
FC = 3 x 103N
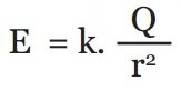
2. Medan Listrik
Medan listrik adalah daerah di sekitar muatan yang masih kuat menimbulkan gaya listrik terhadap muatan lain. Kuat medan listrik (E) didefiniskan sebagai besarnya gaya listrik (F) yang bekerja pada satu satuan muatan uji (q1). Secara matematis kuat medan listrik dirumuskan sebagai berikut.
Keterangan:
E = kuat medan listrik (N/C)
F = gaya coulomb (N)
Q = besar muatan listrik (C)
Contoh soal kuat medan listrik:
Gaya Coulomb yang dialami kedua muatan A dan B adalah sebesar 4 x 10-4N. Jika besar muatan A sebesar 4 x 10-6 C dan muatan uji B sebesar 4 x 10-12C, berapakah besar kuat medan listrik yang dirasakan muatan uji B oleh muatan A tersebut?
Pembahasan:
Diketahui:
FC = 4 x 10-4N
QA = 4 x 10-6C
QB = 4 x 10-12C
Dianyakan: EA = ….?
Jawaban:
EA = F/QB
EA = 4 x 10-4N/4 x 10-12C = 108N/C
3. Beda Potensial Listrik
Beda potensial listrik adalah banyaknya energi listrik yang dibutuhkan untuk mengalirkan muatan listrik dari ujung-ujung penghantar. Besarnya beda potensial listrik dapat dihitung dengan rumus matematis sebagai berikut.
Keterangan:
∆V = beda potensial listrik (volt)
W = energi listrik (joule)
Q = muatan listrik (coulomb)
Contoh soal beda potensial listrik:
Berapakah beda potensial listrik kutub-kutub baterai sebuah rangkaian jika baterai tersebut membutuhkan energi sebesar 60J untuk memindahkan muatan sebesar 20C?
Pembahasan:
Diketahui:
W = 60J
Q = 20C
Ditanyakan: ∆V = ….?
Jawaban:
∆V = W/Q
∆V = 60J/20C = 3V
Jadi, beda potensial listrik kutub-kutub baterai dalam rangkaian tersebut sebesar 3volt.
4. Kelistrikan pada Sel Saraf

Sistem saraf terdiri atas sel-sel saraf yang berfungsi untuk menerima, mengolah, dan mengirim rangsangan yang diterima panca indera. Rangsangan ini disebut impuls.

5. Hantaran Listrik

Hantaran listrik terbagi menjadi 3 macam yaitu konduktor listrik, isolator listrik, dan semikonduktor listrik.
- Konduktor listrik adalah bahan-bahan yang mampu menghantarkan arus listrik dengan baik. Contoh konduktor listrik adalah tembaga, perak, dan emas.
- Isolator listrik adalah bahan-bahan yang sangat buruk dalam menghantarkan arut listrik. Contoh isolator listrik adalah plastik dan karet.
- Semikonduktor listrik adalah bahan-bahan yang berada pada suhu rendah bersifat sebagai isolator, sementara pada suhu tinggi bersifat konduktor. Contoh semikonduktor listrik adalah karbon, silikon, dan germanium.
6. Hewan-Hewan Penghasil Listrik
Ada beberapa hewan di muka bumi ini yang dapat menghasilkan arus listrik, di antaranya yaitu: ikan belali gajah, ikan pari elektrik, hiu kepala martil, echidnas, belut listrik, dan lele elektrik.
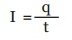
7. Arus Listrik
Besar arus listrik yang mengalir dalam suatu rangkaian tertutup sebanding dengan besarnya muatan listrik yang mengalir pada setiap detik. Secara matematis, arus listrik dirumuskan sebagai berikut.
Keterangan:
I = arus listrik (ampere)
q = muatan listrik (coulomb)
t = waktu (detik)
8. Rangkaian Listrik
Rangkaian listrik terbagi menjadi 2 macam, yaitu rangkaian listrik seri dan rangkaian listrik paralel.
- Rangkaian listrik seri adalah rangkaian listrik yang tidak memiliki percabangan kabel.
- Rangkaian listrik paralel adalah rangkaian listrik yang memiliki percabangan kabel.
1. Rangkaian Hambatan Listrik Seri
Pada rangkaian seri kuat arus listrik bernilai sama tetapi tagangannya berbeda-beda.
2. Rangkaian Hambatan Listrik Paralel
Para rangkaian paralel, tegangan listrik bernilai sama tetapi besar kuat arusnya berbeda pada masing-masing hambatan.
9. Hukum Kirchoff

Menurut Hukum Kirchoff, besar arus listrik yang masuk ke dalam titik cabang kawat penghantar nilainya sama dengan besar arus listrik yang keluar dari titik cabang kawat penghantar tersebut.
10. Rangkaian GGL dan Hukum Ohm pada Rangkaian Tertutup
Jika sebuah hambatan listrik R dihubungkan dengan sumber tegangan E yang mempunyai hambatan dalam r, maka mengalir kuat arus I sebesar:
Keterangan:
I = Kuat arus listrik (A)
E = Tegangan/GGL sumber arus (V)
R = Hambatan listrik (ohm)
r = Hambatan dalam (ohm)
11. Sumber Arus Listrik
Secara umum, sumber arus listrik terdiri dari dua jenis, yaitu sumber arus searah (DC) dan sumber arus bolak-balik (AC).
12. Sumber Energi Listrik Alternatif
Sumber energi listrik alternatif diperoleh dari sumber energi yang berlimpah di alam, misalnya berasal dari energi matahari, energi angin, energi air, bioenergi, dan nuklir.






