Apabila terdapat reaksi:
pA + qB → rC
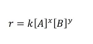
Laju reaksinya dirumuskan sebagai berikut.
Dengan:
r = laju reaksi (mol.dm-3.det-1)
k = tetapan laju reaksi
x = tingkat reaksi (orde reaksi) terhadap A
y = tingkat reaksi (orde reaksi) terhadap B
[A] = konsentrasi awal A (mol.dm-3)
[B] = konsentrasi awal B (mol.dm-3)
Tingkat reaksi total adalah jumlah total dari tingkat reaksi semua pereaksi. Tingkat reaksi nol (0) berarti laju reaksi tersebut tidak terpengaruh oleh konsentrasi pereaksi, tetapi hanya tergantung pada nilai tetapan laju reaksi (k). Nilai k tergantung pada suhu. Jika suhunya tetap, nilai k juga tetap. Tidak ada keterkaitan langsung antara koefisien reaksi dengan rumus laju reaksi.
