Soal UN Fisika No. 6
Ada 4 buah benda seperti gambar di bawah ini.
Keranjang ditarik dengan gaya 30 N pada bidang datar yang kasar (μ = 0,4). Agar keranjang tersebut tepat akan bergerak (massa keranjang diabaikan) maka benda yang harus dimasukkan ke dalam keranjang adalah …
A. Buku dan bola basket
B. Pisang dan bola basket
C. Buku dan mangga
D. Pisang dan buku
E. Mangga dan pisang
Pembahasan:
Diketahui:
F = 30 N
μ = 0,4
m Pisang = 4,0 kg
m Buku = 0,8 kg
m Bola basket = 3,5 kg
m Mangga = 1,2 kg
Ditanyakan: massa benda suapaya keranjang dapat bergerak = …?
Jawaban:
Karena keranjang tepat akan bergerak maka berlaku hukum Newton 1.
∑F = 0
F = μ m . g
30 = 0,4 . m . 10
m = 30/4 = 7,5 kg
Itu artinya, benda yang dimasukkan ke dalam keranjang harus memiliki massa 7,5 kg. Berdasarkan pilihan jawaban, yang memiliki massa sama dengan 7,5 kg adalah pisang ditambah bola basket.
Pisang + bola basket = 4,0 kg + 3, 5 kg = 7,5 kg.
Soal UN Fisika No. 7
Percepatan gravitasi di permukaan planet X adalah 12 kali percepatan gravitasi di permukaan bumi. Jika jari – jari planet X adalah ½ kali jari – jari bumi maka massa planet X adalah …
A. 2 kali massa bumi
B. 3 kali massa bumi
C. 4 kali massa bumi
D. 6 kali masssa bumi
E. 8 kali massa bumi
Pembahasan:
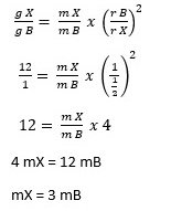
Diketahui:
g planet X = 12
g bumi = 1
r planet X = ½
r bumi = 1
Ditanyakan = m planet X …?
Jawaban:
Jadi, massa planet X adalah 3 kali massa bumi.
Soal UN Fisika No. 8
Lima gaya bekerja pada bujur sangkar dengan sisi 10 cm seperti ditunjukkan pada gambar berikut:
Resultan momen gaya dengan poros di titik perpotongan diagonal bujur sangar adalah …
A. 0,15 N.m
B. 0,25 N.m
C. 0,75 N.m
D. 1,15 N.m
E. 1,25 N.m
Pembahasan:
Diketahui:
F1 = 5√2N
F2 = 10 N
F3 = 4 N
F4 = 10 N
F5 = 9 N
R1 = setengah diagonal bujur sangkar = ½ x 10 √2 cm = 5 √2 cm
R2 = R3 = R4 = R5 = setengah sisi = ½ x 10 cm = 5 cm
Ditanyakan: ∑Ꚍ = …?
Jawaban:
F1, F2, F3, dan F4 ke arah yang sama sedangkan F5 ke arah yang berbeda.
Dengan demikian, resultan momen gayanya adalah:
∑Ꚍ = (F1 . R1 + F2 . R2 + F3 . R3 + F4 . R4) – (F5 . R5)
∑Ꚍ = (5√2 . 5√2 + 10 . 5 + 4 . 5 + 10 . 5) – (9 . 5)
∑Ꚍ = 50 + 50 + 20 + 50 – 45
∑Ꚍ = 125 N.cm = 1,25 N.m
Jadi, resultan momen gaya dengan poros di titik perpotongan diagonal bujur sangar adalah 1,25 N.m.
Soal UN Fisika No. 9
Sebuah silinder pejal (I = ½ MR2) bermassa 8 kg menggelinding tanpa slip pada suatu bidang datar dengan kecepatan 15 m/s. Energi kinetik total silinder adalah …
A. 1. 800 J
B. 1. 350 J
C. 900 J
D. 450 J
E. 225 J
Pembahasan:
Diketahui:
I = ½ MR2
m = 8 kg
v = 15 m/s
Ditanyakan: Ek = …?
Jawaban:
Ek = (k + 1) ½ mv2
Ek = (½ + 1) ½ 8 kg. (15 m/s)2
Ek = 1.350 J
Jadi, energi kinetik total silinder adalah 1.350 J.
Soal UN Fisika No. 10
Perhatikan gambar berikut ini! Sebuah batang bermassa 1,5 kg yang salah satu ujungnya dipasang engsel tegak lurus dinding dan sebuah lampion digantungkan pada jarak tertentu dari engsel.
Besar gaya tegangan tali agar batang berada dalam keseimbangan adalah …
A. 3,0 N
B. 15,0 N
C. 25,0 N
D. 26,7 N
E. 37,5 N
Pembahasan:
Diketahui:
m batang = 1,5 kg
m beban = 2 kg
R1 = Jarak dari tengah batang ke engsel = 0,4 m
R2 = Jarak beban ke engsel = 0,8 – 0,2 = 0,6 m
h = 0,6 m
R = 0,8 m
s = √(0,62 + 0,82) = 1 m
sin ϴ = h/s = 0,6/1 = 0,6
Ditanyakan: T = …?
Jawaban:
w1 = m1 . g = 1,5 kg x 10 m/s2 = 15 N
w2 = m2 . g = 2 kg x 10 m/s2 =20 N
∑Ꚍ = 0
T sin ϴ . R = w1 . R1 + w2 . R2
T . 0,6 . 0,8 = 15 . 0,4 + 20 . 0,6
0,48 T = 6 + 12
T = 18/0,8 = 37,5 N
Jadi, besar gaya tegangan tali agar batang berada dalam keseimbangan adalah 37,5 N.



