Soal UN Fisika No. 31
Perhatikan tabel data eksperimen periode beberapa pegas berikut!
| Pegas | 10T | T | T2 |
| P | 4 | 0,4 | 0,16 |
| Q | 6 | 0,6 | 0,36 |
| R | 2 | 0,2 | 0,04 |
| S | 3 | 0,3 | 0,09 |
| T | 8 | 0,8 | 0,64 |
Jika massa beban pada eksperimen tersebut 200 gram, konstanta pegas terbesar diperoleh pada pegas …
A. P
B. Q
C. R
D. S
E. T
Pembahasan:
Hubungan antara konstata elastisitas pegas dengan periode dirumuskan sebagai berikut:
Itu artinya, semakin kecil nilai T2 maka nilai k semakin besar.
Jadi, konstanta pegas terbesar diperoleh pada pegas R.
Soal UN Fisika No. 32
Dua muatan listrik muatannya 0,2 μC diletakkan di titik B dan C sebuah segitiga sama kaki. Jika k = 9 ∙ 109 N.m2.C−2 maka kuat medan listrik di titik A adalah ….
A. 2 × 104 N.C−2
B. 2√2 × 104 N.C−2
C. 2√3 × 104 N.C−2
D. 3√2 × 104 N.C−2
E. 3√3 × 104 N.C−2
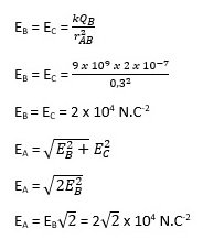
Pembahasan:
Diketahui:
Q = 0,2 μC = 2 x 10-7 C
k = 9 x 109 N.m2.C-2
r = 30 cm = 0,3 m
ϴ = 450
Ditanyakan: EA = …?
Jawaban:
Jadi, kuat medan listrik di titik A adalah 2√2 x 104 N.C-2.
Soal UN Fisika No. 33
Perhatikan rangkaian listrik berikut!
Pembahasan:
Diketahui:
R1 = 5 ꭥ
R2 = 6 ꭥ
R3 = 6 ꭥ
V1 = 12 V
V2 = 4 V
Ditanyakan: I1 : I2 jika hambatan 5 ꭥ diganti menjadi 7 ꭥ = …?
Jawaban:
Rp = R/n
Rp = 6/2 = 3 ꭥ
Rt1 = R1 + Rp = 5ꭥ + 3ꭥ = 8ꭥ
Rt2 = R1 + Rp = 7ꭥ + 3ꭥ = 10ꭥ
I1 : I2 = Rt2 : Rt1 = 10 : 8 = 5 : 4
Jadi, jika hambatan 5ꭥ diganti menjadi 7ꭥ maka perbandingan arus total sebelum dan sesudah pergantian adalah 5 : 4.
Soal UN Fisika No. 34
Sebuah muatan positif bergerak di bawah sebuah kawat berarus listrik yang arah arusnya searah sumbu x(+) seperti gambar.
Muatan bergerak searah dengan arah arus listrik. Arah gaya Lorentz yang dialami oleh muatan tersebut searah sumbu ….
A. y(+)
B. y(−)
C. x(+)
D. x(−)
E. z(+)
Soal UN Fisika No. 35
Sebuah kumparan terdiri atas 50 lilitan berada dalam fluks magnetik yang berubah terhadap waktu yang dinyatakan dengan: Φ = 5t2 + 10t + 1. Di mana Φ dalam weber dan t dalam detik. Besar ggl induksi yang terjadi pada ujung – ujung kumparan saat t = 2 detik adalah ….
A. 1.500 volt
B. 1.000 volt
C. 950 volt
D. 900 volt
E. 700 volt
Pembahasan:
Diketahui:
N = 50 lilitan
Φ = 5t2 + 10t + 1
Ditanyakan: Ɛ pada t = 2 detik …?
Jawaban:
Φ = 5t2 + 10t + 1
dΦ/dt = 10t + 10
t = 2 detik maka:
dΦ/dt = 10 ∙ 2 + 10 = 30
Dengan demikian:
ε = −N dΦ/dt
ε = 50 ∙ 30
ε = 1.500 volt
Jadi, besar ggl induksi yang terjadi pada ujung – ujung kumparan saat t = 2 detik adalah 1.500 volt.




