Contoh soal tekanan hidrostatis berikut ini membahas tentang bejana berisi gabungan fluida yang berada pada pipa U. Yuk kita pelajari lebih lanjut….
Soal No. 1
Sebuah pipa U diisi dengan minyak dan raksa. Jika ketinggian raksa h1 adalah 1,6 cm, maka tentukanlah ketinggian minyak jika diketahui massa jenis raksa dan minyak berturut – turut adalah 13,6 g/cm3 dan 0,8 g/cm3!
Pembahasan:
Diketahui:
ρ1 = 13,6 g/cm3
ρ2 = 0,8 g/cm3
h1 = 1,6 cm
Ditanyakan: h2 = …?
Jawaban:
P1 = P2
ρ1 . g . h1 = ρ2 . g . h2
13,6 . 1,6 = 0,8 . h2
h2 = 21,76/0,8 = 27,2 cm
Soal No. 2
Perhatikan gambar berikut!
Tentukanlah persamaan untuk menentukan massa jenis zat cair ketiga!
Pembahasan:
P1 = P2 + P3
ρ1 . g . h1 = ρ2 . g . h2 + ρ3 . g . h3
ρ1 . h1 = ρ2 . h2 + ρ3 . g . h3
ρ3 . g . h3 = ρ 1 . h1 – ρ2 . h2
ρ3 = (ρ1 . h1 – ρ2 . h2)/g . h3
Soal No. 3
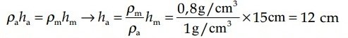
Perhatikanlah gambar bejana berikut!
Jika diketahui massa jenis minyak 0,8 g/cm3, massa jenis raksa 13,6 g/cm3, dan massa jenis air 1 g/cm3, tentukanlah perbedaan tinggi permukaan antara minyak dan air.
Pembahasan:
Diketahui:
ρminyak = 0,8 g/cm3
ρraksa = 13,6 g/cm3
ρair = 1 g/cm3
hair = 15 cm
Ditanyakan: Perbedaan tinggi permukaan antara minyak dan air = …?
Jawaban:
Perbedaan tinggi permukaan antara minyak dan air = hair – hminyak = 15 cm – 12 cm = 3 cm
Soal No. 4
Dua bejana A dan B diisi dengan zat cair yang berbeda massa jenisnya. Jika tekanan di dasar A sama dengan 4/5 tekanan di dasar B dan massa jenis zat cair A = 100 kg/m3, maka massa jenis zat cair di B adalah …
A. 1250 kg/m3
B. 2500 kg/m3
C. 3000 kg/m3
D. 4000 kg/m3
E. 5000 kg/m3
Jawaban: A
Pembahasan:
Diketahui:
PA = 4/5 PB
ρA = 1000 kg/m3
Ditanyakan: ρB = …?
Jawaban:
PA = 4/5 PB
5 PA = 4 PB
5 (ρA . g . hA) = 4 (ρB . g . hB)
5 . 1000 = 4 ρB
ρB = 5000/4 = 1250 kg/m3
Soal No. 5
Sebuah pipa U diisi dengan dua cairan yang berbeda seperti gambar berikut!
Jika massa jenis ρ1 = 0,8 g/cm3; ρ2 = 1 g/cm3; dan h1 = 10 cm, maka tinggi h2 adalah …
A. 5 cm
B. 6 cm
C. 7 cm
D. 8 cm
E. 10 cm
Jawaban: D
Pembahasan:
Diketahui:
ρ1 = 0,8 g/cm3
ρ2 = 1 g/cm3
h1 = 10 cm
Ditanyakan: h2 = …?
Jawaban:
P1 = P2
ρ1 . g . h1 = ρ2 . g . h2
0,8 . 10 = 1 . h2
h2 = 8 cm



