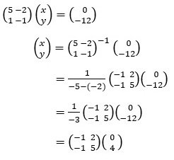
Soal No. 11
Banyaknya siswa laki-laki di sebuah kelas adalah 2/5 siswa perempuan. Jika 12 orang siswa perempuan meninggalkan kelas itu maka banyaknya siswa perempuan dan laki-laki menjadi sama. Jika x dan y berturut-turut menyatakan banyaknya siswa laki-laki dan perempuan maka matriks yang tepat untuk menyatakan banyaknya masing-masing siswa adalah ….
Jawaban: E
Pembahasan:
Diketahui:
x = siswa laki – laki
y = siswa perempuan
x = 2/5 y
5x = 2y
5x − 2y = 0
Jika 12 orang siswa perempuan meninggalkan kelas itu maka banyaknya siswa perempuan dan laki-laki menjadi sama, maka:
y − 12 = x
y − x = 12
x − y = −12
Ditanyakan: Matriks = …?
Jawaban:
5x − 2y = 0
x − y = −12
Soal No. 12
Diketahui barisan aritmetika dengan U3 = 14 dan U7 = 34. Jumlah 23 suku pertama dari barisan tersebut adalah ….
A. 1334
B. 1357
C. 1932
D. 2123
E. 2714
Jawaban: B
Pembahasan:
Pertama kita cari nilai b:
U7 = a + 6b = 34
U3 = a + 2b = 14
——————– –
4b = 20
b = 5
Kemudian kita cari nilai a:
U3 = a + 2b = 14
a = U3 − 2b
a = 14 − 2 ∙ 5 = 4
Selanjutnya kita cari nilai S23 :
Sn = ½ n[2a + (n − 1)b]
S23 = ½ ∙ 23(2 ∙ 4 + 22 ∙ 5)
S23= ½ ∙ 23(8 + 110)
S23 = ½ ∙ 23 ∙118
S23 = 1357
Soal No. 13
Suku ke-7 dari deret geometri −54 + 36 − 24 + ⋯ adalah ….
A. −4 (18/27)
B. −4 (20/27)
C. −7 (1/9)
D. 4 (20/27)
E. 4 (18/27)
Jawaban: B
Pembahasan:
Diketahui:
a = – 54
r = 36/(−54) = −2/3
Ditanyakan: U7 = …?
Jawaban:
Soal No. 14
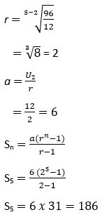
Seorang anak diminta mengisi kelereng pada 5 kotak yang diberi label A, B, C, D, dan E mengikuti aturan barisan geometri. Jika kotak B diisi dengan kelereng sebanyak 12 butir dan kotak E diisi sebanyak 96 butir, jumlah seluruh kelereng yang diisikan ke dalam 5 kotak tersebut adalah ….
A. 180 butir
B. 186 butir
C. 192 butir
D. 198 butir
E. 240 butir
Jawaban: B
Pembahasan:
Diketahui:
U2 = 12
U5 = 96
Ditanyakan: S5 = …?
Jawaban:
Soal No. 15
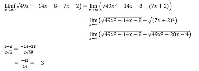
Nilai dari
A. 3
B. 1
C. −1
D. −2
E. −3
Jawaban: E
Pembahasan:




