Soal No. 31
Kuartil bawah dari data pada tabel distribusi frekuensi di bawah ini adalah ….
| Interval | Frekuensi |
| 40 – 44 | 12 |
| 45 – 49 | 20 |
| 50 – 54 | 15 |
| 55 – 59 | 30 |
| 60 – 64 | 12 |
| 65 – 69 | 11 |
A. 44,50
B. 45,75
C. 46,50
D. 46,75
E. 47,75
Jawaban: E
Pembahasan:
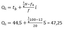
Diketahui:
N = 100
tb = 45 – 0,5 = 44,5
i = 65 – 60 = 5
fk = 12
f = 20
Ditanyakan: Q1 = …?
Jawaban:
Soal No. 32
Perolehan nilai tes siswa suatu kelas disajikan pada histogram berikut.
Nilai tes siswa terbanyak adalah ….
A. 74,75
B. 75,50
C. 75,75
D. 76,50
E. 77,50
Jawaban: D
Pembahasan:
Diketahui:
tb = 74,5
d1 = 15 – 9 = 6
d2 = 15 – 6 = 9
i = 89,5 – 84,5 = 5
Ditanyakan: M0 = …?
Jawaban:
Soal No. 33
Dari angka-angka 2, 3, 5, 6, 8, 9 akan disusun bilangan yang terdiri atas 3 angka berlainan. Banyak bilangan lebih besar dari 500 yang bisa dibuat adalah ….
A. 120
B. 80
C. 64
D. 60
E. 40
Jawaban: B
Pembahasan:
Bilangan yang terdiri atas 3 angka itu artinya bilangan ratusan.
Untuk membuat bilangan ratusan yang lebih besar dari 500 dengan angka – angka 2, 3, 5, 6, 8, 9 maka:
Angka ratusan yang memenuhi terdiri dari angka = 5, 6, 8, 9 (berjumlah 4 angka)
Angka puluhan yang memenuhi terdiri dari angka = 2, 3, 5, 6, 8, 9 (berjumlah 6 angka)
Angka satuan yang memenuhi terdiri dari angka = 2, 3, 5, 6, 8, 9 (berjumlah 6 angka)
| Ratusan | Puluhan | Satuan |
| 4 | 6 – 1 | 6 – 2 |
Hasilnya:
4 x 5 x 4 = 80
Soal No. 34
Sebuah rak di perpustakaan berisi 3 buku matematika, 2 buka fisika dengan judul yang sama, dan 4 buku biologi. Banyak cara menyusun buku-buku dengan syarat buku pelajaran yang sama disusun berdekatan adalah ….
A. 1.728
B. 1.608
C. 864
D. 72
E. 36
Jawaban: C
Pembahasan:
3 rak masing-masing diisi pelajaran yang sama.
3! = 3 × 2 × 1 = 6
Rak matematika terdiri dari 3 buku berbeda
3! = 6
Rak fisika terdiri dari 2 buku yang sama
1! = 1
Rak biologi terdiri 4 buku berbeda
4! = 4 × 3 × 2 × 1 = 24
Banyak cara menyusun buku-buku dengan syarat buku pelajaran yang sama disusun berdekatan adalah:
6 × 6 × 1 × 24 = 864
Soal No. 35
Dalam suatu kelompok diskusi yang beranggotakan 4 pria dan 6 wanita akan dipilih 3 orang secara acak untuk mempresentasikan hasil diskusinya. Banyaknya cara memanggil 1 pria dan 2 wanita adalah ….
A. 12
B. 19
C. 34
D. 60
E. 120
Jawaban: D
Pembahasan:



