Soal No. 36
Perusahaan listrik suatu wilayah membuat jadwal pemadaman listrik pada 30 komplek perumahan yang ada pada wilayah cakupannya sebagai berikut:
| Hari | Banyak komplek yang mengalami pemadaman |
| Senin | 4 |
| Selasa | 5 |
| Rabu | 3 |
| Kamis | 5 |
| Jumat | 4 |
| Sabtu | 5 |
| Minggu | 4 |
Jika jadwal pemadaman tersebut berlaku secara acak pada semua komplek, peluang terjadi pemadaman listrik di sebuah komplek pada hari Rabu atau Minggu adalah ….
A. 1/300
B. 1/10
C. 1/15
D. 13/100
E. 7/30
Jawaban: E
Pembahasan:
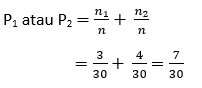
Diketahui:
n = 30
n1 = 3 (hari rabu)
n2 = 4 (hari minggu)
Ditanyakan: P1 atau P2 = …?
Jawaban:
Soal No. 37
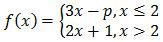
Diketahui akar-akar persamaan kuadrat 3x2 + 2x + 5 = 0 adalah x1 dan x2. Persamaan kuadrat yang akar-akarnya x1 + 1 dan x2 + 1 adalah ax2 + bx + c = 0. Nilai dari 2a + b+ c adalah ….
Pembahasan:
Dengan demikian,
2a + b + c = 2 ∙ 3 + (−4) + 6 = 6 − 4 + 6 = 8
Soal No. 38
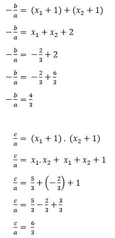
Diketahui
Agar lim x→2 f(x) mempunyai nilai, maka p = ….
Pembahasan:
lim x→2(3x − p) = lim x→2 (2x + 1)
3 ∙ 2 − p = 2 ∙ 2 + 1
6 − p = 5
6 − 5 = p
p = 1
Soal No. 39
Fungsi trigonometri f(x) = 6 sin 2x − 3 memotong sumbu x pada interval 180° ≤ x ≤ 225°. Nilai x yang memenuhi adalah …°.
Pembahasan:
f(x) = 0
6 sin 2x − 3 = 0
6 sin 2x = 3
sin 2x = 1/2
Kuadran I
sin 2x = sin 30°
2x = 30° + k ∙ 360°
x = 15° + k ∙ 180° = 15°, 195°, 375°, …
Kuadran II
sin 2x = sin (180° − 30°)
2x = 150° + k ∙ 360°
x = 75° + 5 ∙ 180° = 75°, 225°, 435°, …
Jadi, nilai x yang memenuhi adalah 195° dan 225°.
Soal No. 40
Banyak bilangan genap terdiri dari 3 angka berbeda yang disusun dari angka-angka 2, 3, 4, 5, 7, dan 9 adalah ….
Pembahasan:
Angka ratusan yang memenuhi terdiri dari angka = 2, 3, 4, 5, 7, 9 (berjumlah 6 angka)
Angka puluhan yang memenuhi terdiri dari angka = 2, 3, 4, 5, 7, 9 (berjumlah 6 angka)
Angka satuan yang memenuhi terdiri dari angka = 2, 4 (berjumlah 2 angka)
| Ratusan | Puluhan | Satuan |
| 6 – 2 | 6 – 1 | 2 |
Hasilnya:
4 x 5 x 2 = 40
Jadi, banyak bilangan genap terdiri dari 3 angka berbeda yang disusun dari angka-angka 2, 3, 4, 5, 7, dan 9 adalah 40.

