Soal No. 16
Diketahui f(x) = 5x − 3 dan g(x) = 4x2 − 3x. Jika h(x) = f(x) ∙ g(x) dan h’(x) merupakan turunan dari h(x) maka h’(x) = ….
A. 40x − 15
B. −20x2 + 24x − 9
C. 20x3 − 27x2 + 9x
D. 20x2 + 25x − 15
E. 60x2 − 54x + 9
Jawaban: E
Pembahasan:
f(x) = 5x − 3
f’(x) = 5
g(x) = 4x2 − 3x
g’(x) = 8x − 3
h(x) = f(x) ∙ g(x)
h’(x) = f;(x) ∙ g(x) + f(x) ∙ g‘(x)
h’(x) = 5(4x2 − 3x) + (5x − 3)(8x − 3)
h’(x) = 20x2 − 15x + 40x2 − 15x − 24x + 9
h’(x) = 60x2 − 54x + 9
Soal No. 17
Fungsi f(x) = 7/3 x3 + 16x2 − 15x + 6 naik pada interval ….
A. −7/3 < x < 5
B. −3/7 < x < 5
C. −5 < x < 3/7
D. x < −5 atau x > 3/7
E. x < −3/7 atau x > 5
Jawaban: D
Pembahasan:
f(x) = 7/3 x3 + 16x2 − 15x + 6
f ‘(x) > 0
7x2 + 32x − 15 > 0
(7x − 3)(x + 5) > 0
x < −5 atau x > 3/7
Soal No. 18
Persamaan garis singgung kurva y = x2 − 5x + 12 yang sejajar dengan garis 3x − y + 5 = 0 adalah ….
A. 3x − y + 4 = 0
B. 3x − y − 4 = 0
C. 3x − y − 20 = 0
D. x − 3y − 4 = 0
E. x − 3y + 4 = 0
Jawaban: B
Pembahasan:
m1 = y’
m1 = 2x − 5
m2 = −a/b
m2 = −3/(−1) = 3
m1 = m2
2x − 5 = 3
2x = 8
x = 4
y = x2 − 5x + 12
y = 42 − 5 ∙ 4 + 12
y = 16 − 20 + 12
y = 8
y − y1 = m1(x − x1)
y − 8 = 3(x − 4)
y − 8 = 3x − 12
y − 3x + 4 = 0 |x -|
−y + 3x − 4 = 0
3x − y − 4 = 0
Soal No. 19
Suatu industri rumah tangga memproduksi barang selama x hari dengan biaya produksi setiap harinya adalah (4x + 100/x + 40) juta rupiah. Biaya minimum produksi industri rumah tangga dalam ribu rupiah adalah ….
A. Rp 75.000.000,00
B. Rp 80.000.000,00
C. Rp 90.000.000,00
D. Rp 120.000.000,00
E. Rp 145.000.000,00
Jawaban: B
Pembahasan:
B = (4x + 100/x + 40) juta rupiah
B’ = 0
4 − 100/x2 = 0
4 = 100/x2
4x2 = 100
x2 = 25
x = 5
B = (4x + 100/x + 40) juta rupiah
B = (4∙5 + 100/5 + 40) juta rupiah
B = (20 + 20 + 40) juta rupiah
B = 80 juta rupiah
Soal No. 20
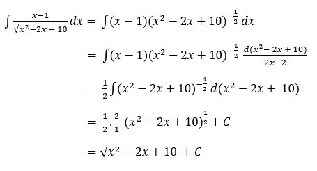
Hasil dari
Jawaban: D
Pembahasan:

