Soal No. 21
Diketahui
Nilai p yang memenuhi adalah ….
A. −26
B. −13
C. −3
D. 3
E. 13
Jawaban: C
Pembahasan:
Soal No. 22
Diketahui segitiga ABC siku-siku di B dan sin R = 8/17 (P dan R sudut lancip). Nilai dari (1 − cos R)(1 + sin P) adalah ….
A. 17/8
B. 17/15
C. 64/289
D. −64/289
E. −225/289
Jawaban: C
Pembahasan:
Diketahui:
sin R = 8/17, maka sistem trigonometri yang berlaku adalah
sisi depan = 8
sisi miring = 17
sisi samping = 15
Ditanyakan: Nilai dari (1 − cos R)(1 + sin P) = …?
Jawab:
cos R = 15/17 dan sin P = 15/17
(1 − cos R)(1 + sin P)
= (1 – 15/17)(1 + 15/17)
= (2/17) (32/17)
= 64/289
Soal No. 23
Sisno diminta mengukur tinggi tiang bendera menggunakan klinometer.
Saat pertama berdiri dengan melihat ujung tiang bendera, terlihat pada klinometer menunjuk pada sudut 60°. Kemudian ia bergerak menjauhi tiang bendera sejauh 10 m dan terlihat pada klinometer sudut 45°. Tinggi tang bendera adalah ….
A. (15 + 10√3) m
B. (15 + 5√3) m
C. (15 − 5√3) m
D. (15 − 10√3) m
E. (5 + 10√3) m
Jawaban: B
Pembahasan:
tan 60° = t/x
√3 = t/x
t = √3 x
tan 45° = t/(x + 10)
1 = t/(x + 10)
t = x + 10
√3 x = x + 10
√3 x − x = 10
(√3 − 1)x = 10
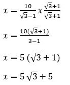
x = 10/(√3 − 1)
t = x + 10
= 5√3 + 5 + 10
= 15 + 5√3
Soal No. 24
Diketahui suatu taman di tengah kota berbentuk segitiga sembarang. Jika sudut apit sebesar 60° dan dua sisi yang mengapitnya masing-masing panjangnya 18 meter dan 16 meter maka luas taman tersebut adalah ….
A. 72 m2
B. 72√2 m2
C. 72√3 m2
D. 144 m2
E. 144√3 m2
Jawaban: C
Pembahasan:
L = 1/2 ab sin α
L = 1/2 × 18 × 16 × sin 60°
L = 1/2 × 18 × 16 × 1/2 √3
L = 9 × 8√3 = 72√3
Soal No. 25
Jawaban: A
Pembahasan:
Karena kamar Andi berbentuk balok, maka kita ilustrasikan sebagai berikut:
EG = √(42 + 32) = 5 m
PE = 1/2 AE = 1/2 × 3 = 3/2 m
Maka gambarnya akan terlihat seperti berikut:
Dengan demikian, kita bisa mencari jarak sinar lampu terjauh di kamar Andi.






